Soal Ujian AAJI PDF | PDF

Kumpulan Soal Ujian AAJI (Asosiasi Asuransi Jiwa Indonesia) - SoalUjian.Net
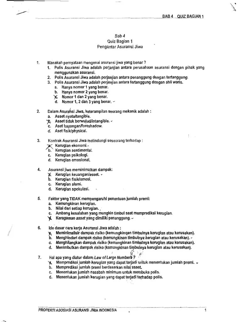
Soal Ujian PRUDENTIAL Soal Ujian AAJI (Asosiasi Asuransi Jiwa Indonesia) | PDF

Latihan soal tutorial aaji
Soal Ujian Aaji 2015 – Kita
Soal Ujian AAJI | PDF

Soal Ujian Sertifikasi Keagenan AAJI terbaru TIPE 1 - FIRMAN INSIDE
Contoh Soal Ujian Asuransi Syariah - Mathlaul Khairiyah
![contoh soal aaji - [PDF Document]](https://i0.wp.com/reader017.fdokumen.com/reader017/html5/js20200118/5e22f8ca2567c/5e22f8caf364d.jpg)
contoh soal aaji - [PDF Document]
Soal Soal Aaji Mobile Exam | PDF

Kunci Jawaban Ujian Aaji - Ujian Nasional
![]()
PDF) Kumpulan Soal AAJI | R Putri Devi Kinangsih - Academia.edu
![]()
Top PDF Latihan Soal soal Ujian AAJI 2013 1 3 1 - 123dok.com
Kumpulan Soal-Soal Ujian AAJI | PDF
![JADWAL UJIAN AAJI REGULER (ONLINE & PAPER) TAHUN 2017 3i- Ujian AAJI - Paper dan Online 2017.pdf - [PDF Document]](https://i1.wp.com/demo.fdokumen.com/img/378x509/reader025/reader/2021050920/5cd9079188c9930b098c7a2d/r-1.jpg)
JADWAL UJIAN AAJI REGULER (ONLINE & PAPER) TAHUN 2017 3i- Ujian AAJI - Paper dan Online 2017.pdf - [PDF Document]

Kisi-kisi soal ujian AAJI – Asuransi Jiwa dan Kesehatan Syariah
![]()
Soal Dan Jawaban Aaji

Materi Belajar dan Kumpulan Soal Ujian AAJI dan AASI (Konvensional + Syariah) – Asuransi Jiwa dan Kesehatan Syariah
![]()
Kunci Jawaban Ujian Aaji Prudential - Ujian Nasional
![Jadwal Ujian Aaji Online (Agustus 2014) - [PDF Document]](https://i1.wp.com/demo.fdokumen.com/img/378x509/reader024/reader/2021010309/55cf942c550346f57ba01da0/r-1.jpg)
Jadwal Ujian Aaji Online (Agustus 2014) - [PDF Document]

Latihan Soal AAJI dan AAJI (part 2) | Sun Life Syariah